新祥旭考研官网欢迎您!


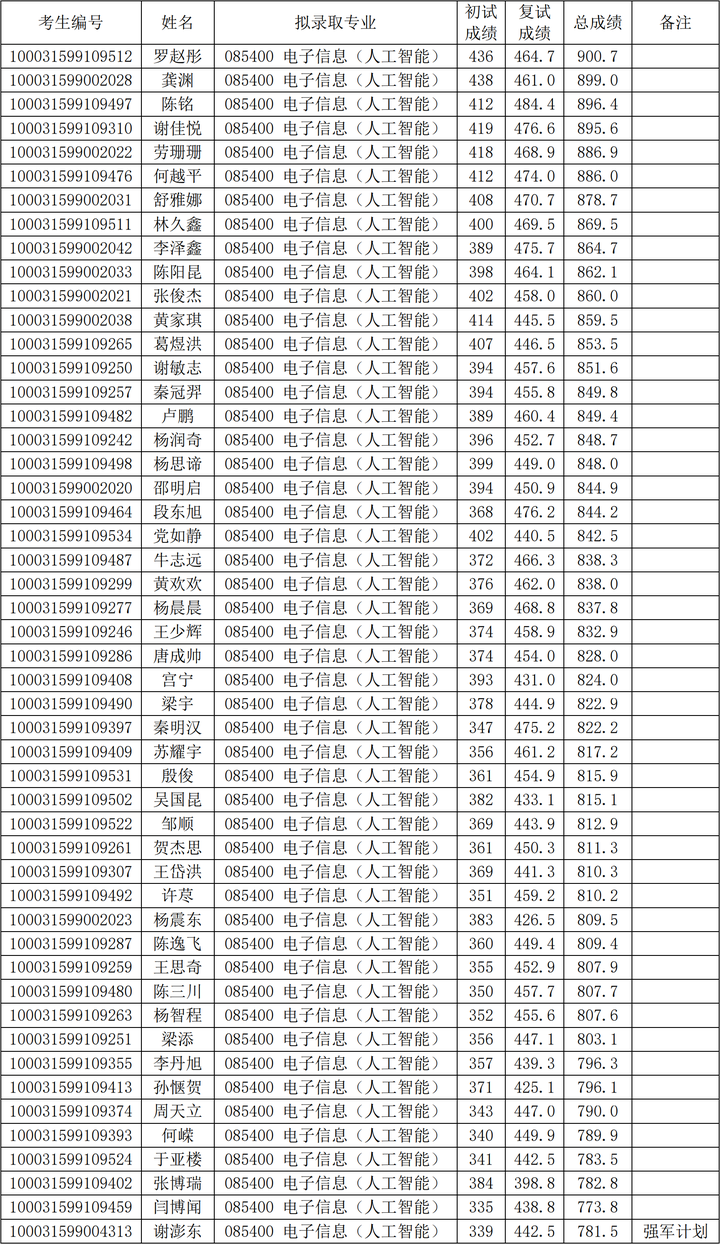
2021年清华大学深研院电子信息(人工智能)硕士研究生考研复试情况及拟录取名单

新祥旭吴老师 / 2021-06-02

 

 新祥旭—清华大学考研辅导班

手机+微信咨询:13366797044(新祥旭吴老师)

总部地址:北京市海淀区苏州街长远天地大厦A2座21层

乘车路线:地铁10号线苏州街站下C口出北行200米右拐 

全方位权威辅导,考研复试效率高

面授一对一
在线一对一
魔鬼集训营
咨询课程 预约登记

以效果为导向    以录取为目标

添加微信咨询考研问题
北清考研定制 985考研定制 211考研定制 学硕考研定制 专硕考研定制 北京考研私塾
x