新祥旭导读:通过本文,大家可以看到陕西师范大学的考研招生情况和最终的录取结果。通过招生录取结果,大家可以看到具体的录取人数和最终的录取分数区间,供大家参考各个专业的难度,祝大家22年考研备考顺利。新祥旭考研后续也会为大家带来更多的考研信息。
陕西师范大学21年考研,包括以下专业招生,录取名单在文末
哲学与政府管理学院
- 马克思主义哲学[010101]
- 中国哲学[010102]
- 外国哲学[010103]
- 伦理学[010105]
- 美学[010106]
- 科学技术哲学[010108]
- 社会学[030301]
- 人口学[030302]
- 民俗学[030304]
- 行政管理[120401]
- 土地资源管理[120405]
- 城市管理[1204Z1]
- 法律(法学)[035102]
- 社会工作[035200]
- 公共管理[125200]
宗教研究中心
- 宗教学[010107]
国际商学院
- 理论经济学[020100]
- 应用经济学[020200]
- 工商管理[120200]
- 公共管理[120400]
- 会计[125300]
- 工商管理[125100]
- 会计[125300]
西北历史环境与经济社会发展研究院
- 理论经济学[020100]
- 中国史[060200]
教育实验经济研究所
- 实验经济学[0201Z1]
中国西部边疆研究院
- 民族学[030401]
- 马克思主义民族理论与政策[030402]
- 中国少数民族经济[030403]
- 中国少数民族史[030404]
马克思主义学院
- 马克思主义基本原理[030501]
- 马克思主义发展史[030502]
- 马克思主义中国化研究[030503]
- 国外马克思主义研究[030504]
- 思想政治教育[030505]
- 中国近现代史基本问题研究[030506]
- 学科教学(思政)[045102]
教育学院
- 教育学原理[040101]
- 课程与教学论[040102]
- 教育史[040103]
- 比较教育学[040104]
- 学前教育学[040105]
- 高等教育学[040106]
- 职业技术教育学[040108]
- 特殊教育学[040109]
- 少年儿童组织与思想意识教育[0401Z4]
- 教师教育学[0401Z5]
- 教育经济与管理[047101]
- 教育技术学[078401]
- 现代教育技术[045114]
- 小学教育[045115]
- 学前教育[045118]
- 特殊教育[045119]
- 职业技术教育[045120]
- 教育管理[045101]
- 特殊教育[045119]
- 教育技术学[078401]
体育学院
- 课程与教学论[040102]
- 体育人文社会学[040301]
- 运动人体科学[040302]
- 体育教育训练学[040303]
- 民族传统体育学[040304]
- 学科教学(体育)[045112]
- 体育教学[045201]
- 运动训练[045202]
文学院
- 课程与教学论[040102]
- 文艺学[050101]
- 语言学及应用语言学[050102]
- 汉语言文字学[050103]
- 中国古典文献学[050104]
- 中国古代文学[050105]
- 中国现当代文学[050106]
- 中国少数民族语言文学[050107]
- 比较文学与世界文学[050108]
- 文体研究与文学教育[0501Z2]
- 学科教学(语文)[045103]
外国语学院
- 课程与教学论[040102]
- 英语语言文学[050201]
- 俄语语言文学[050202]
- 日语语言文学[050205]
- 外国语言学及应用语言学[050211]
- 学科教学(英语)[045108]
- 英语笔译[055101]
- 英语口译[055102]
历史文化学院
- 课程与教学论[040102]
- 考古学[060100]
- 中国史[060200]
- 世界史[060300]
- 学科教学(历史)[045109]
- 文物与博物馆[065100]
数学与信息科学学院
- 课程与教学论[040102]
- 数学[070100]
- 统计学[071400]
- 学科教学(数学)[045104]
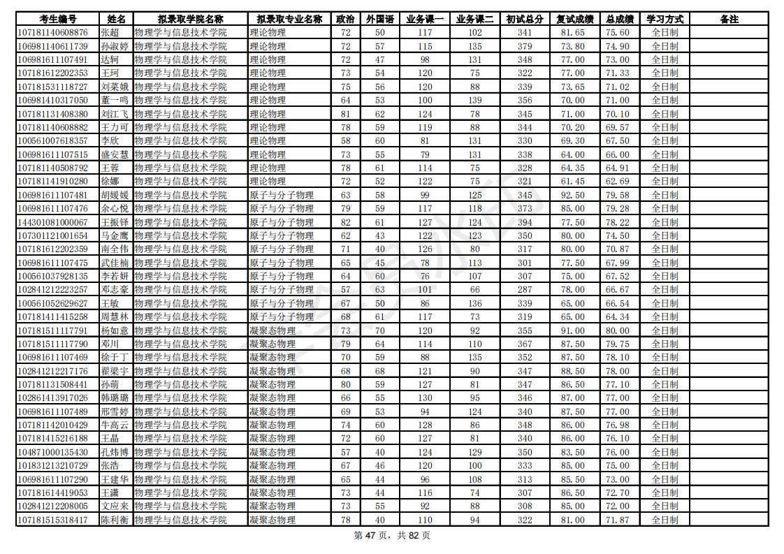
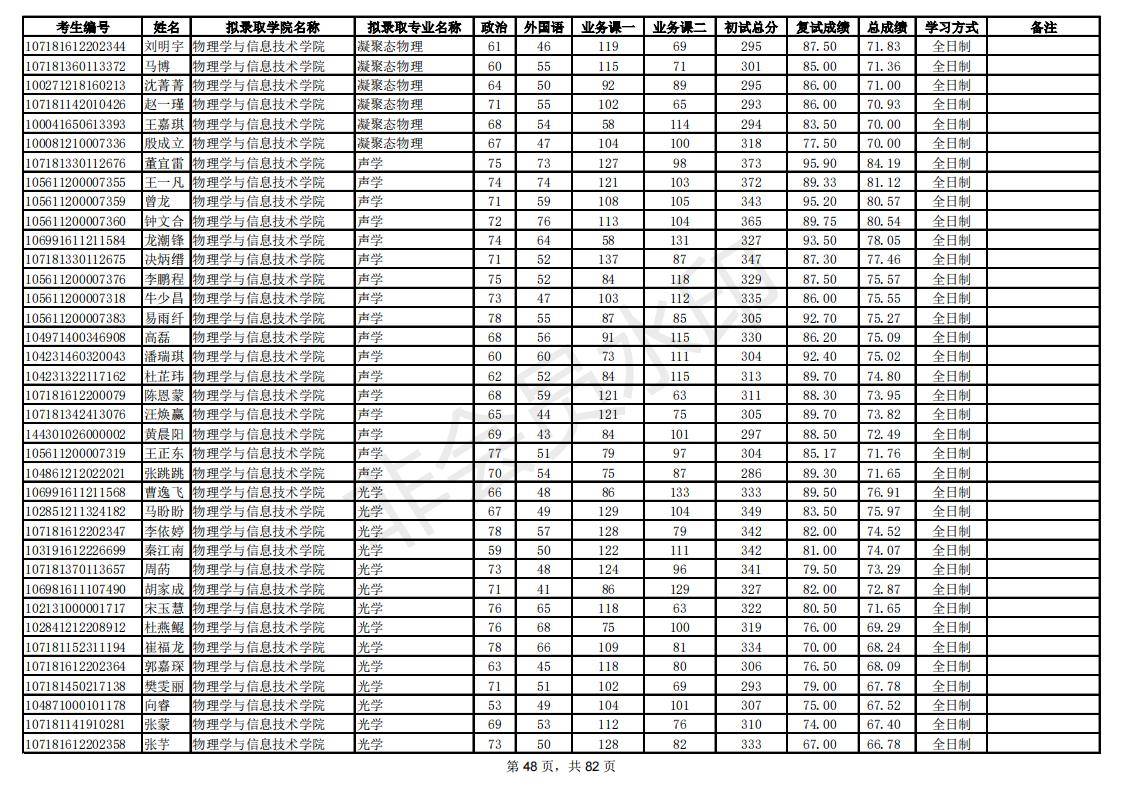
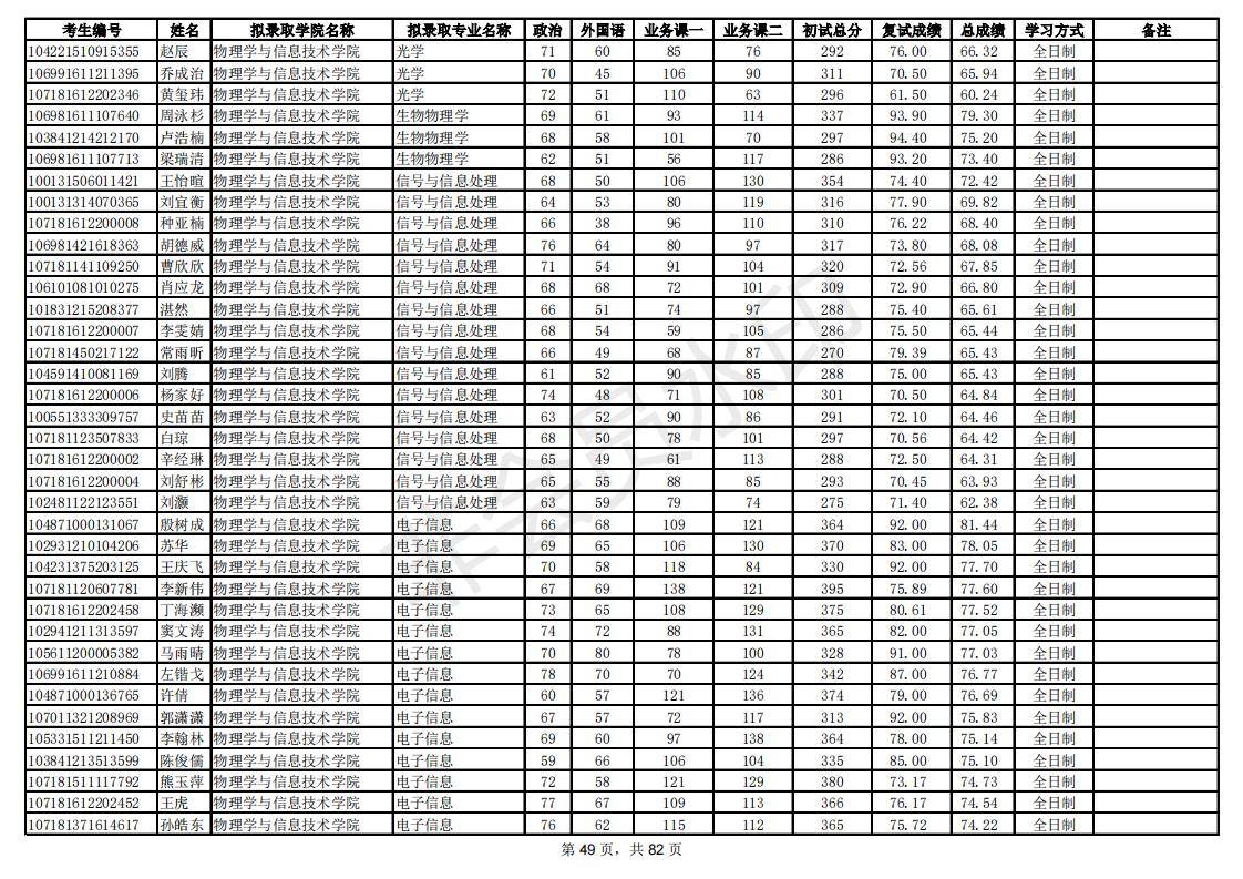
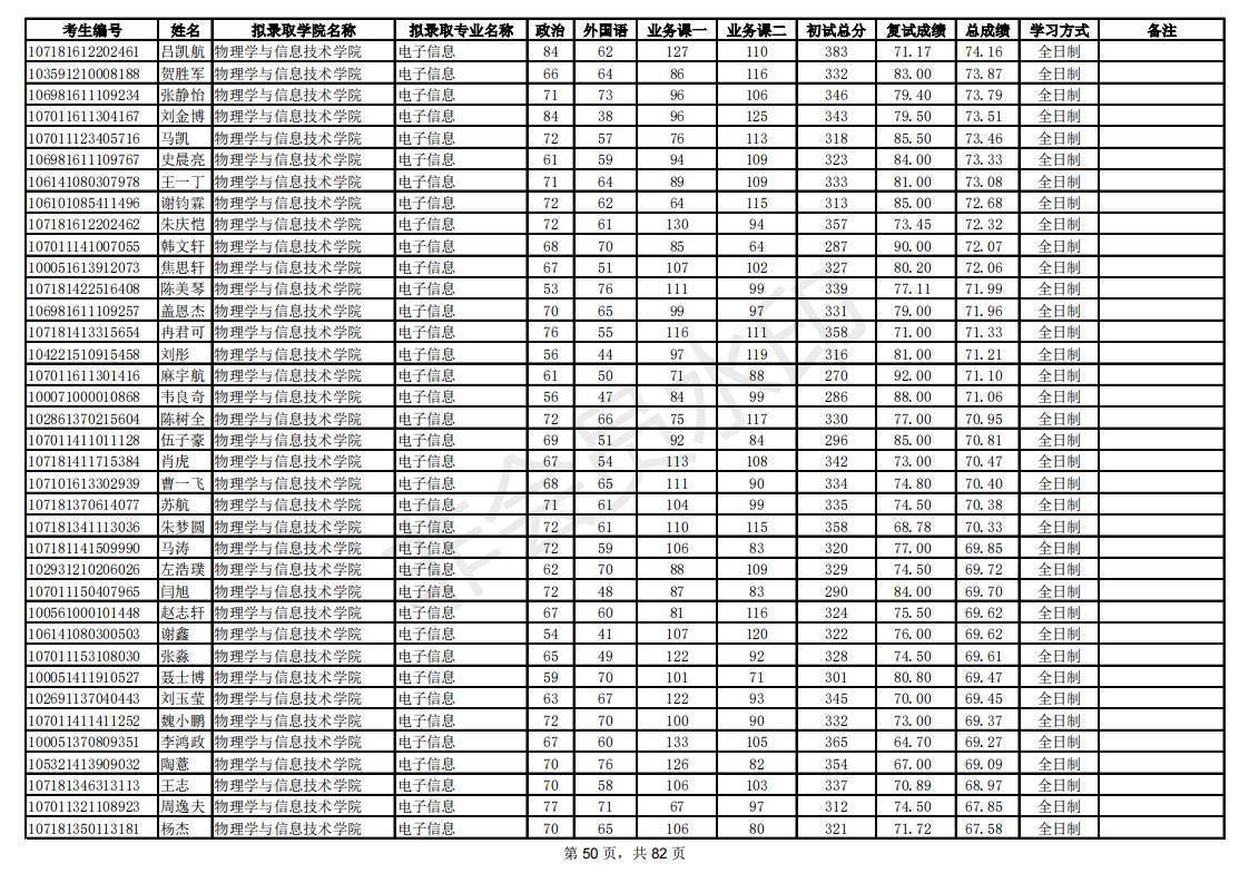
物理学与信息技术学院
- 课程与教学论[040102]
- 理论物理[070201]
- 原子与分子物理[070203]
- 凝聚态物理[070205]
- 声学[070206]
- 光学[070207]
- 生物物理学[071011]
- 信号与信息处理[081002]
- 学科教学(物理)[045105]
- 电子信息[085400]
- 电子信息[085400]
化学化工学院
- 课程与教学论[040102]
- 化学[070300]
- 材料科学与工程[080500]
- 化学工程与技术[081700]
- 学科教学(化学)[045106]
- 科学与技术教育[045117]
- 材料与化工[085600]
地理科学与旅游学院
- 课程与教学论[040102]
- 自然地理学[070501]
- 人文地理学[070502]
- 地图学与地理信息系统[070503]
- 自然灾害学[0705Z3]
- 环境科学[083001]
- 环境工程[083002]
- 旅游管理[120203]
- 学科教学(地理)[045110]
- 资源与环境[085700]
- 旅游管理[125400]
- 旅游管理[125400]
生命科学学院
- 课程与教学论[040102]
- 植物学[071001]
- 动物学[071002]
- 生理学[071003]
- 微生物学[071005]
- 神经生物学[071006]
- 遗传学[071007]
- 发育生物学[071008]
- 细胞生物学[071009]
- 生物化学与分子生物学[071010]
- 生物信息学[0710Z2]
- 生态学[071300]
- 学科教学(生物)[045107]
- 生物与医药[086000]
远程教育学院
- 成人教育学[040107]
民族教育学院
- 民族教育[0401Z3]
心理学院
- 基础心理学[040201]
- 发展与教育心理学[040202]
- 应用心理学[040203]
- 航空航天心理学[0402Z1]
- 心理健康教育[045116]
- 应用心理[045400]
- 心理健康教育[045116]
现代教学技术教育部重点实验室
- 基础心理学[040201]
- 发展与教育心理学[040202]
- 神经生物学[071006]
- 教育技术学[078401]
- 心理健康教育[045116]
国际汉学院
- 语言学及应用语言学[050102]
- 汉语国际教育[045300]
新闻与传播学院
- 文艺与文化传播学[0501Z1]
- 新闻学[050301]
- 传播学[050302]
- 戏剧与影视学[130300]
- 新闻与传播[055200]
- 出版[055300]
- 广播电视[135105]
“一带一路”建设与中亚研究协同创新中心
- 世界史[060300]
计算机科学学院
- 量子信息学[0701Z1]
- 计算机科学与技术[081200]
- 软件工程[083500]
- 现代教育技术[045114]
- 电子信息[085400]
食品工程与营养科学学院
- 化学[070300]
- 食品科学与工程[083200]
- 生物与医药[086000]
材料科学与工程学院
- 化学[070300]
- 材料科学与工程[080500]
- 材料与化工[085600]
西北国土资源研究中心
- 地理学[070500]
西北濒危药材资源开发国家工程实验室
- 生物学[071000]
- 生物与医药[086000]
音乐学院
- 音乐与舞蹈学[130200]
- 音乐[135101]
- 舞蹈[135106]
美术学院
- 美术学[130400]
- 设计学[130500]
- 学科教学(美术)[045113]
- 美术[135107]
- 艺术设计[135108]
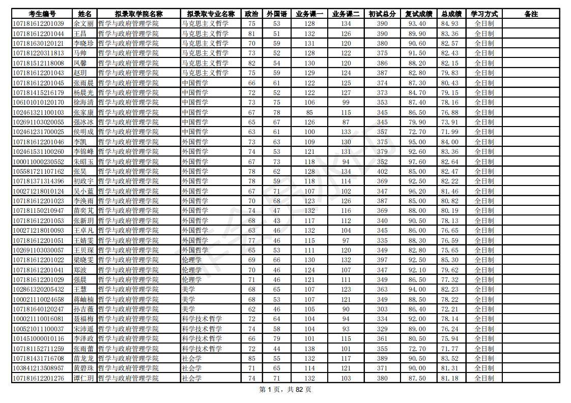
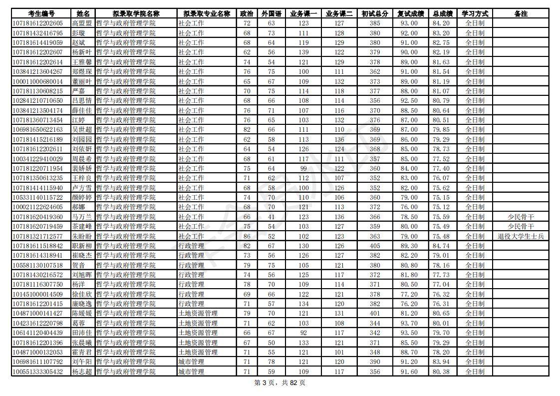
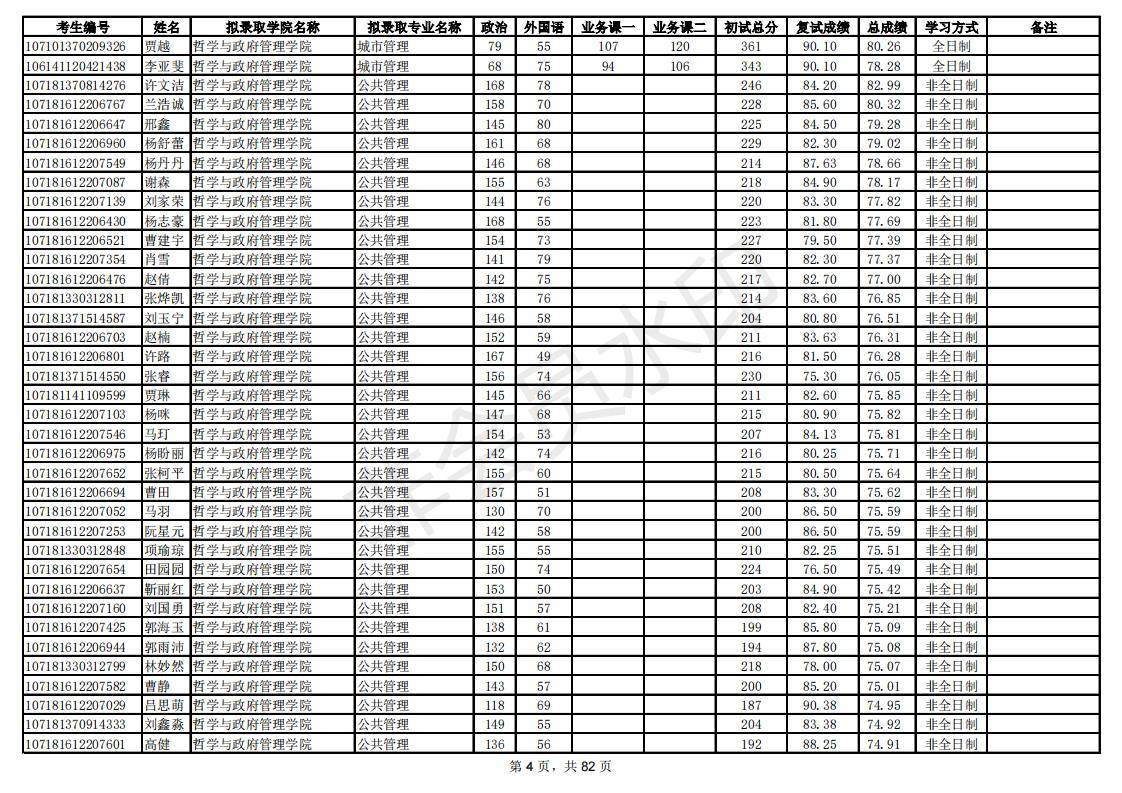
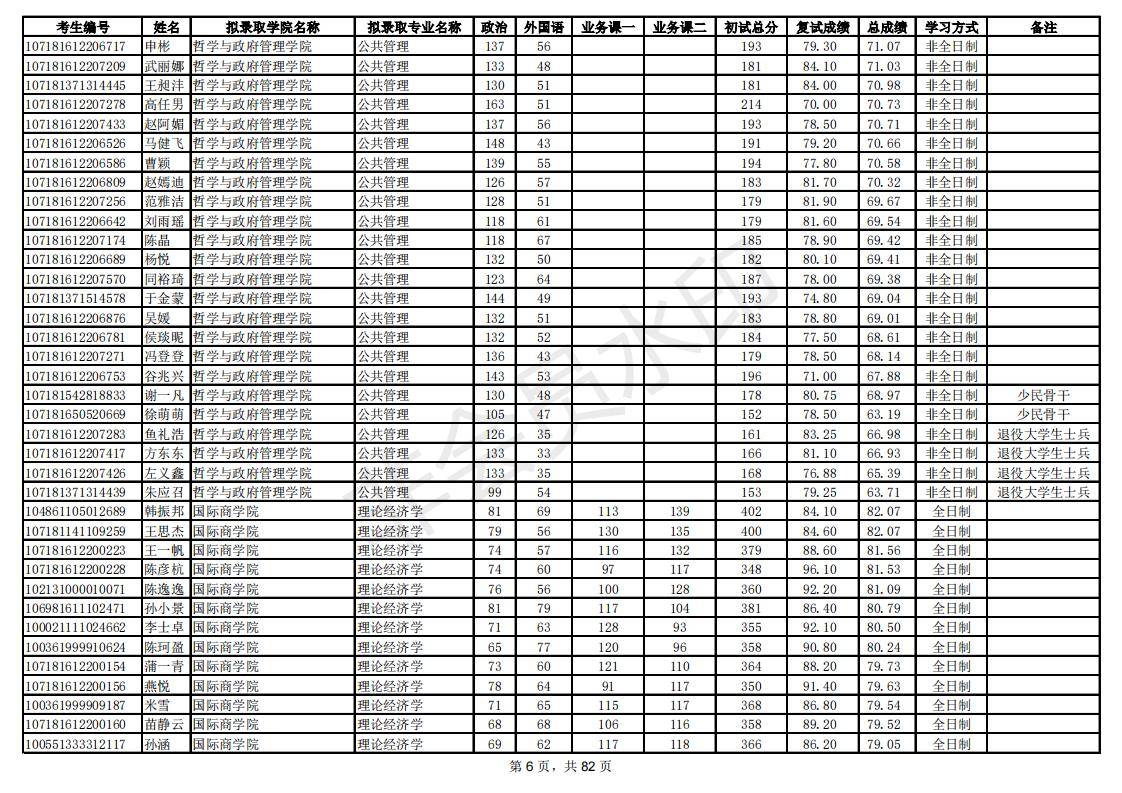
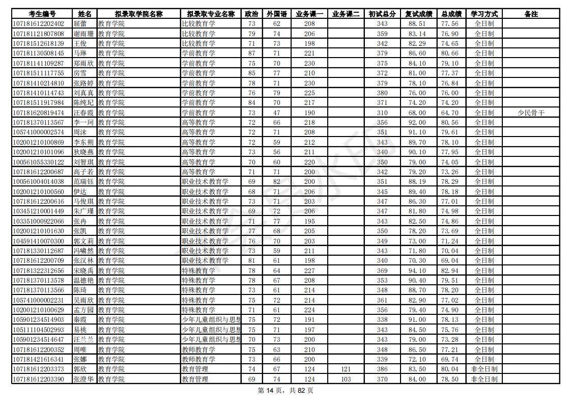
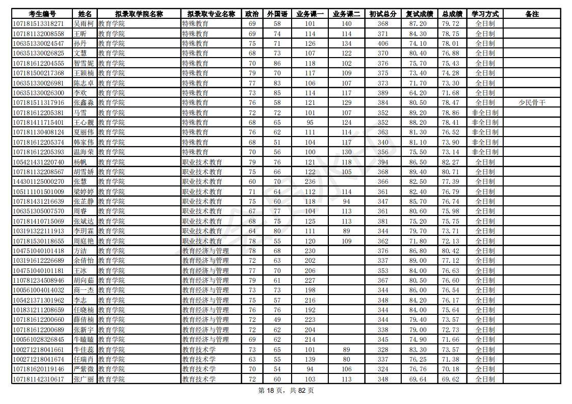
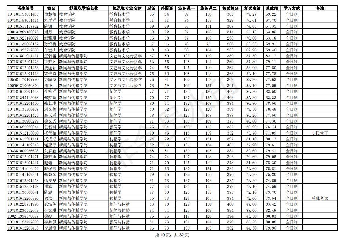
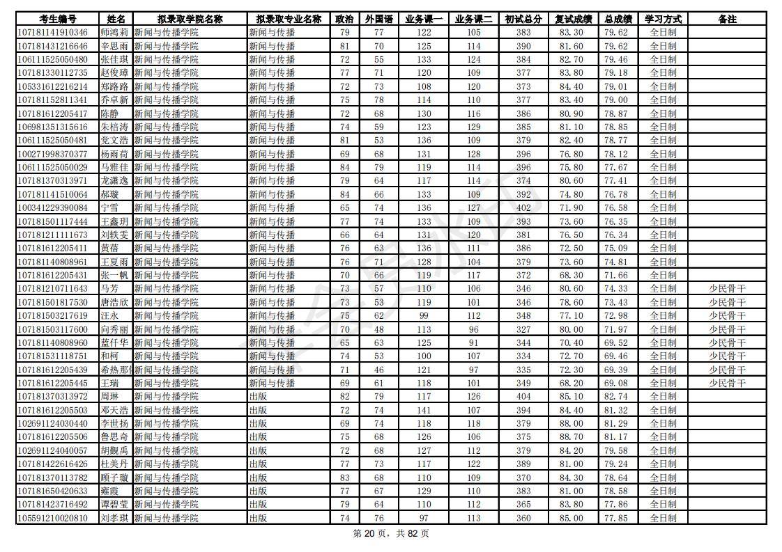
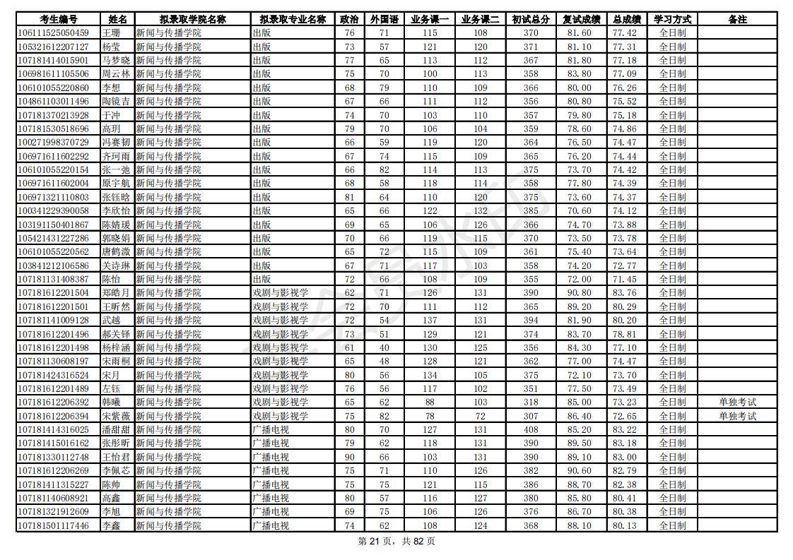
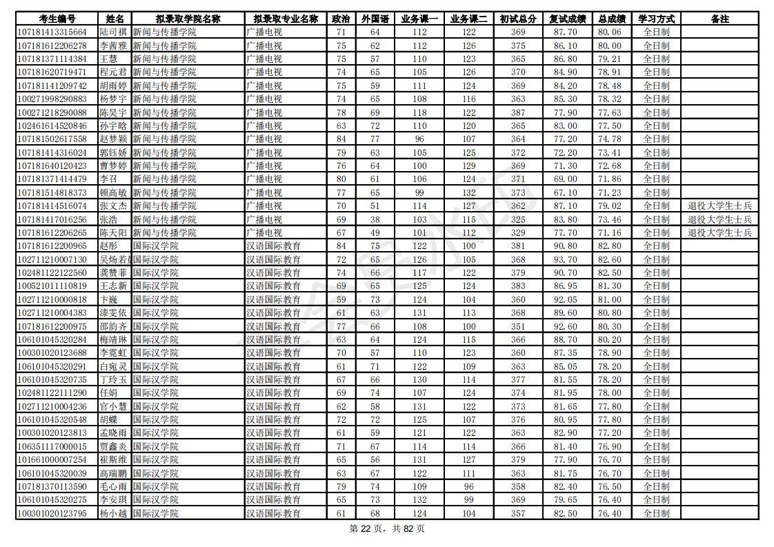
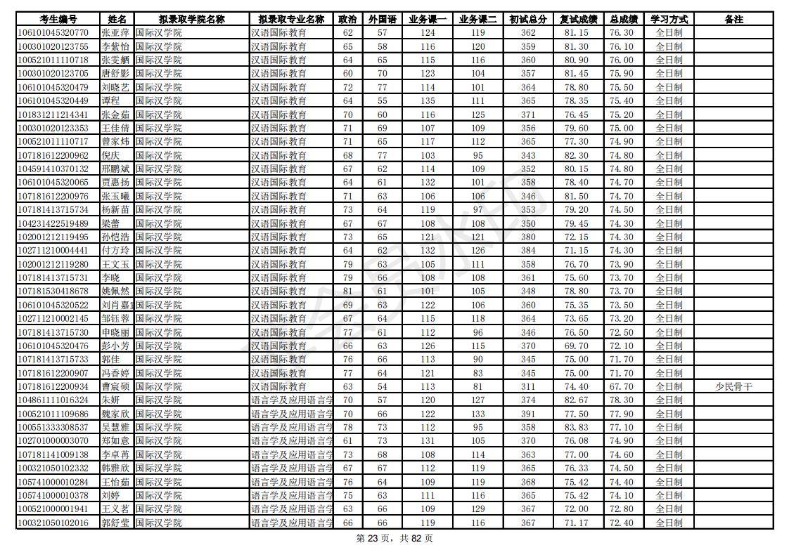
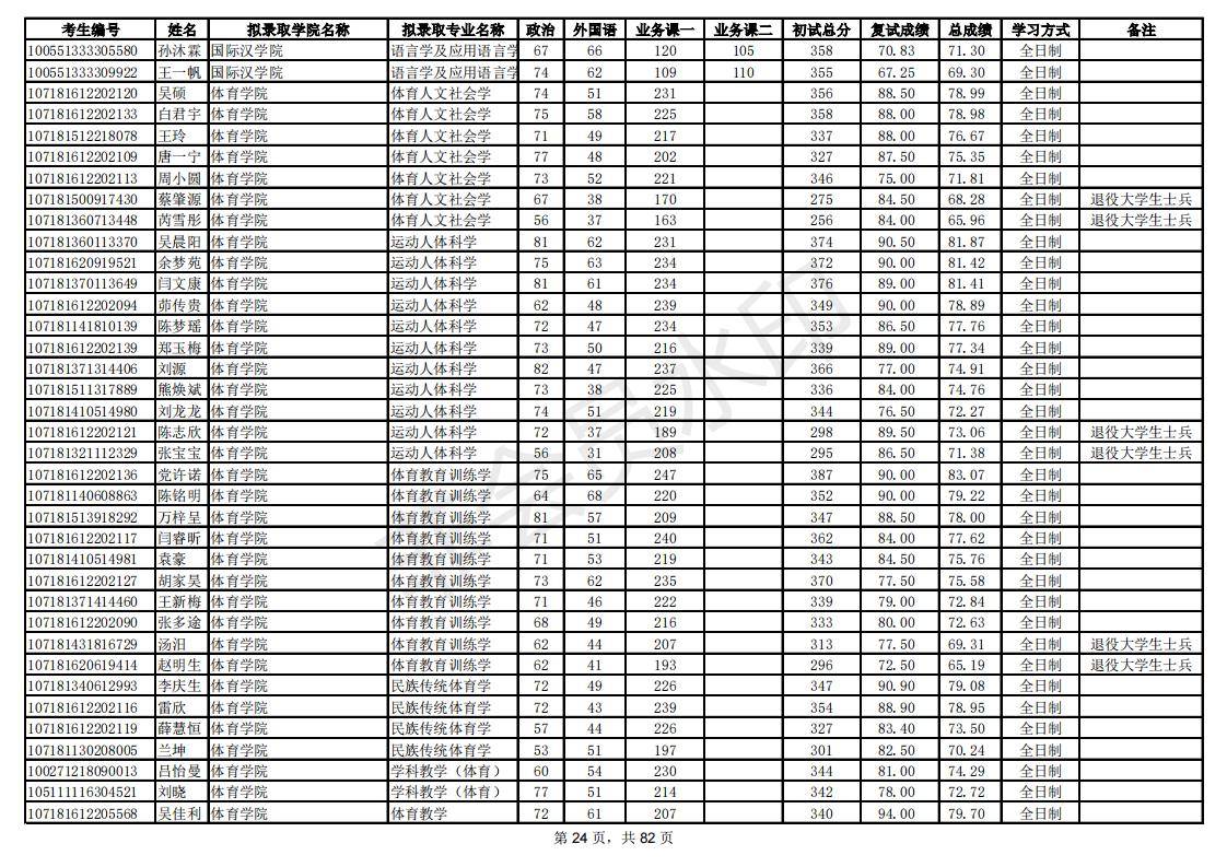
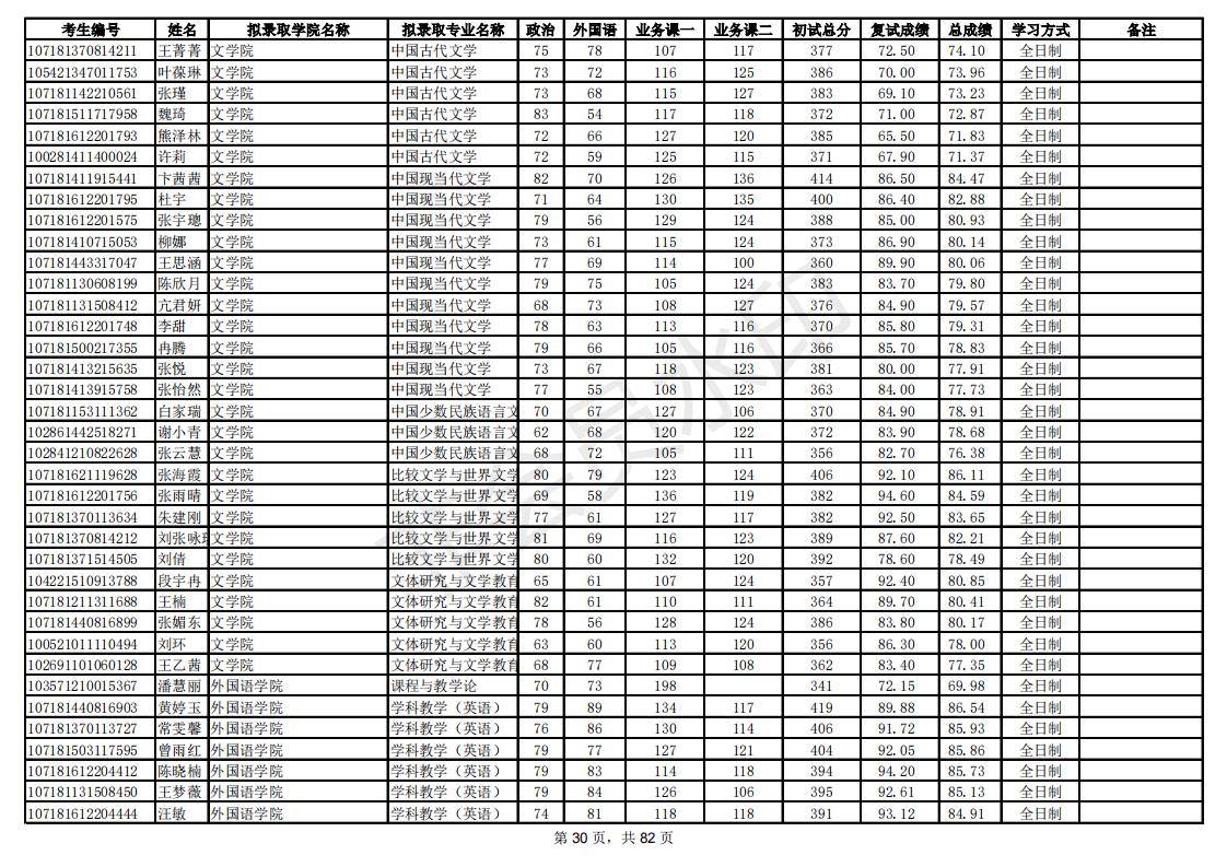
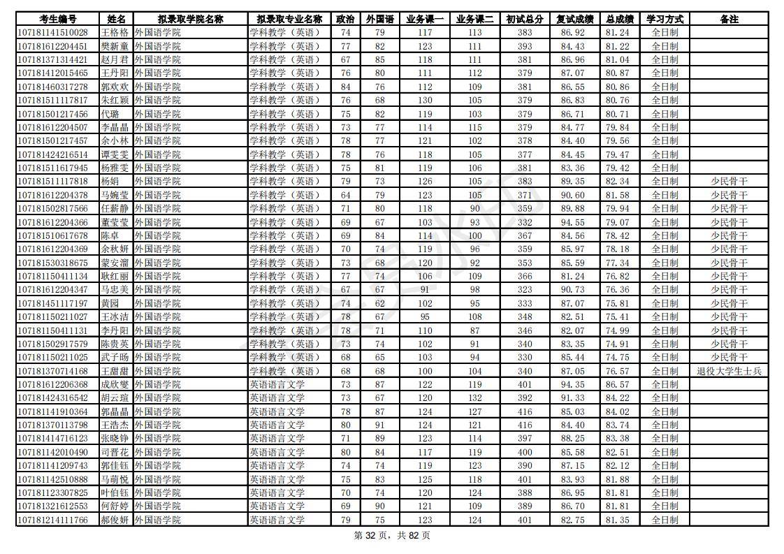
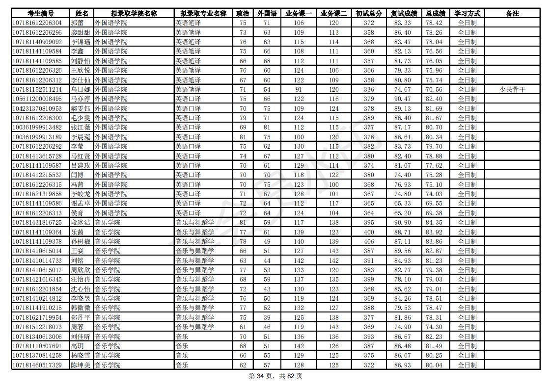
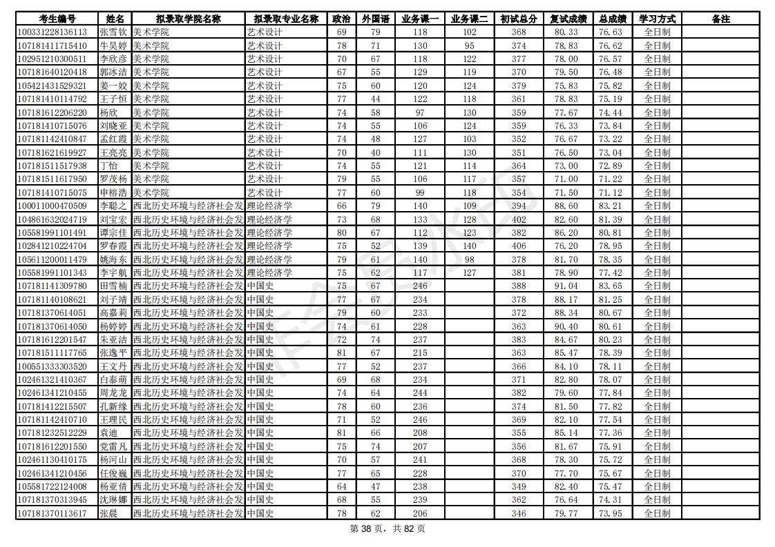
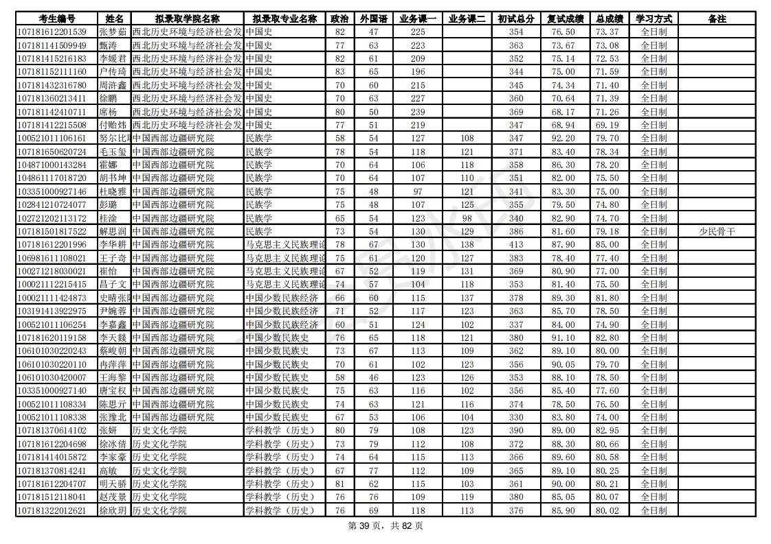
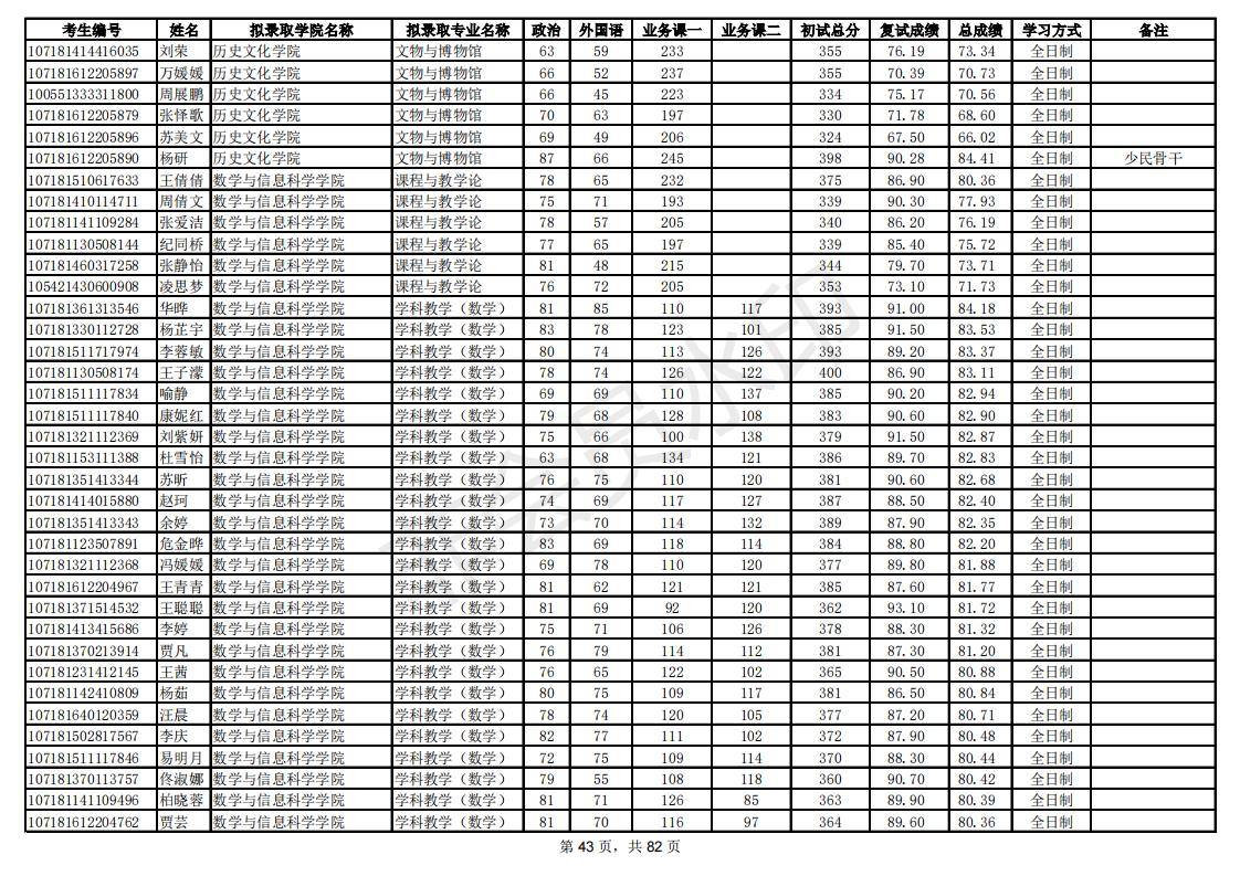
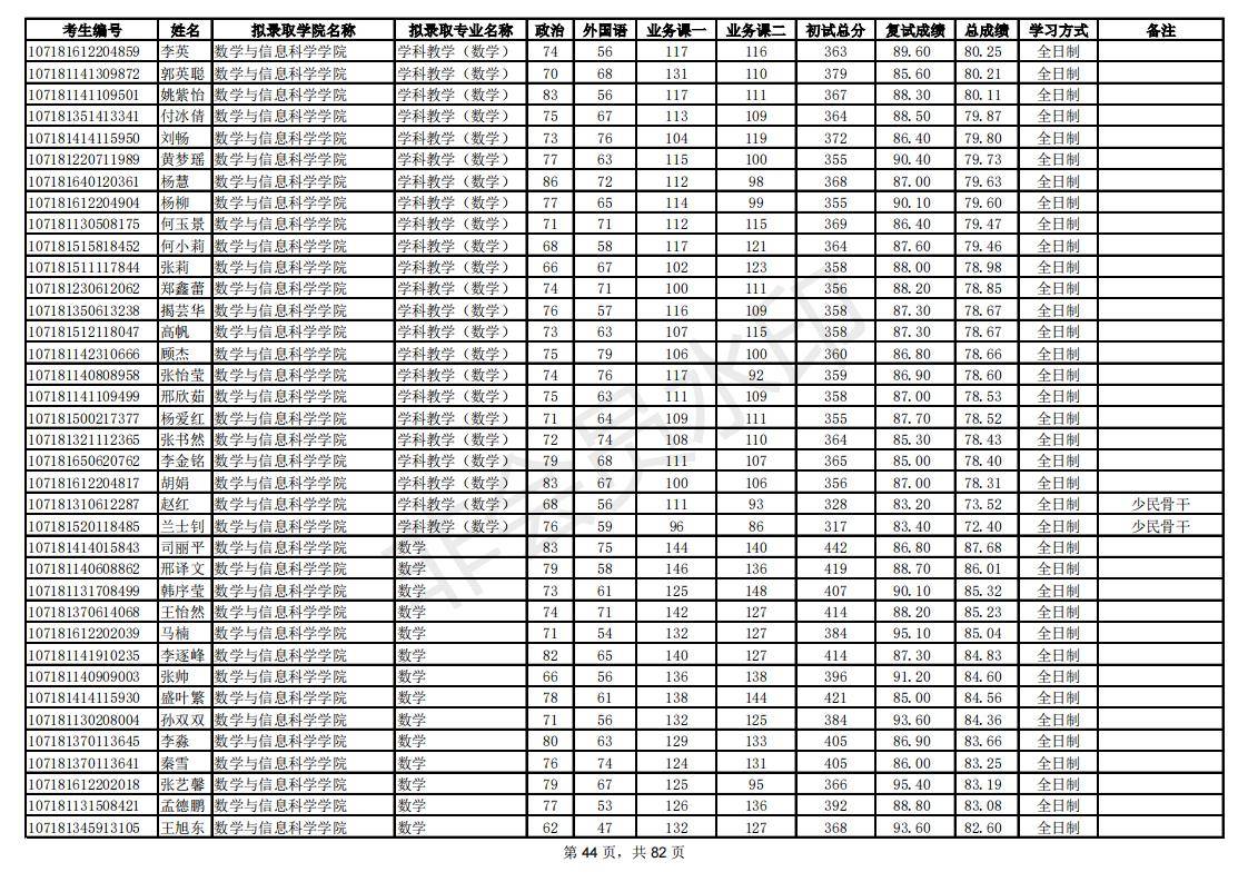
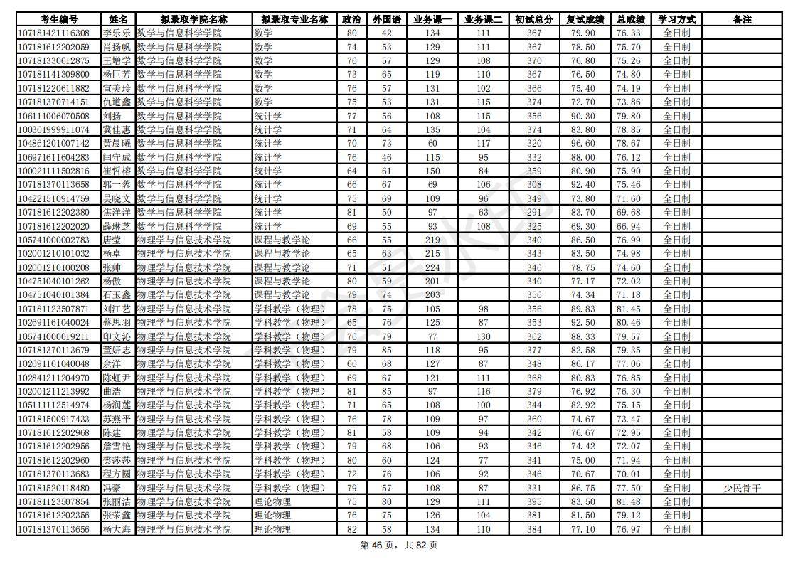
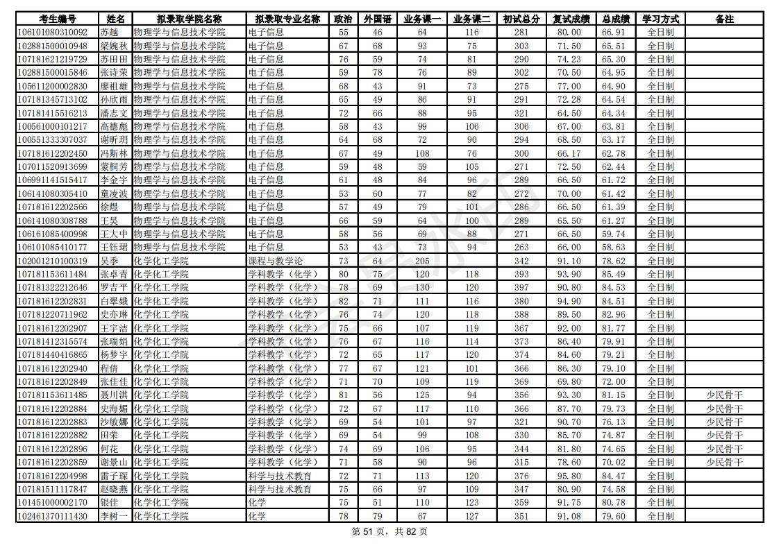
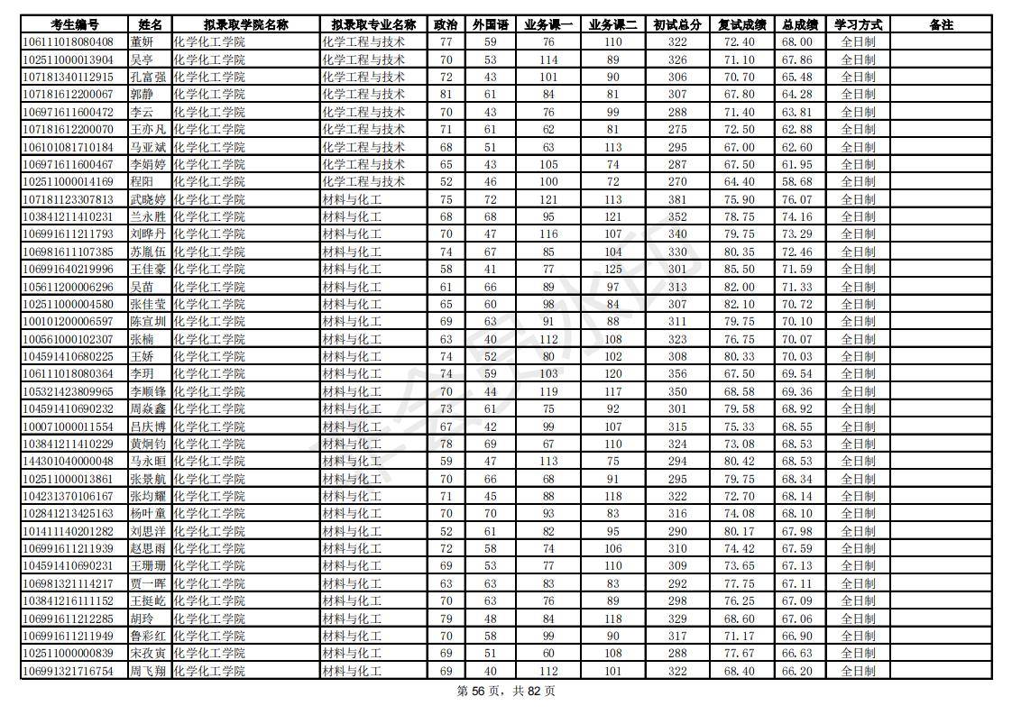
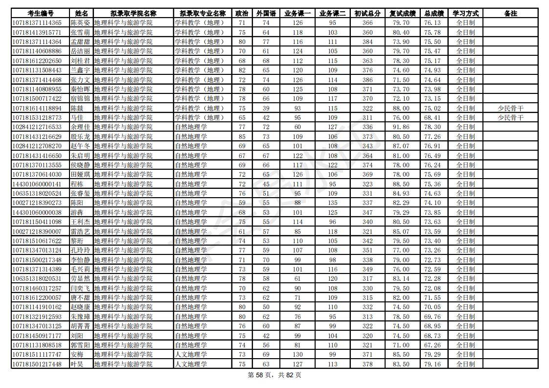
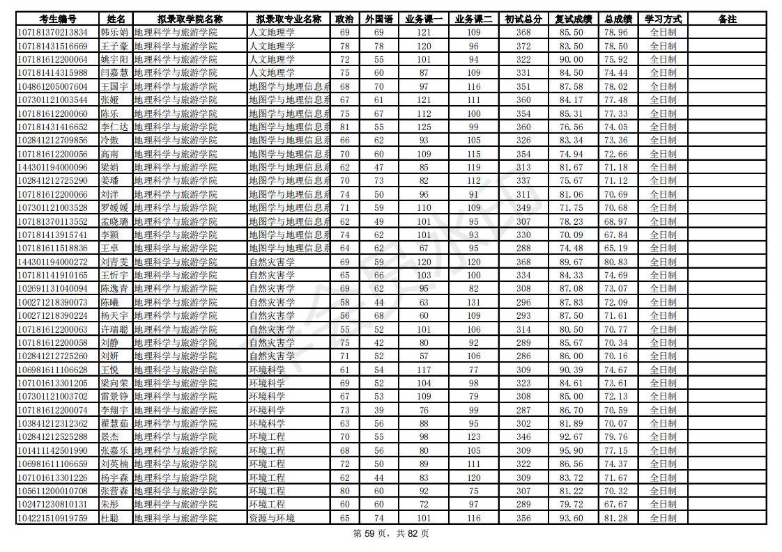
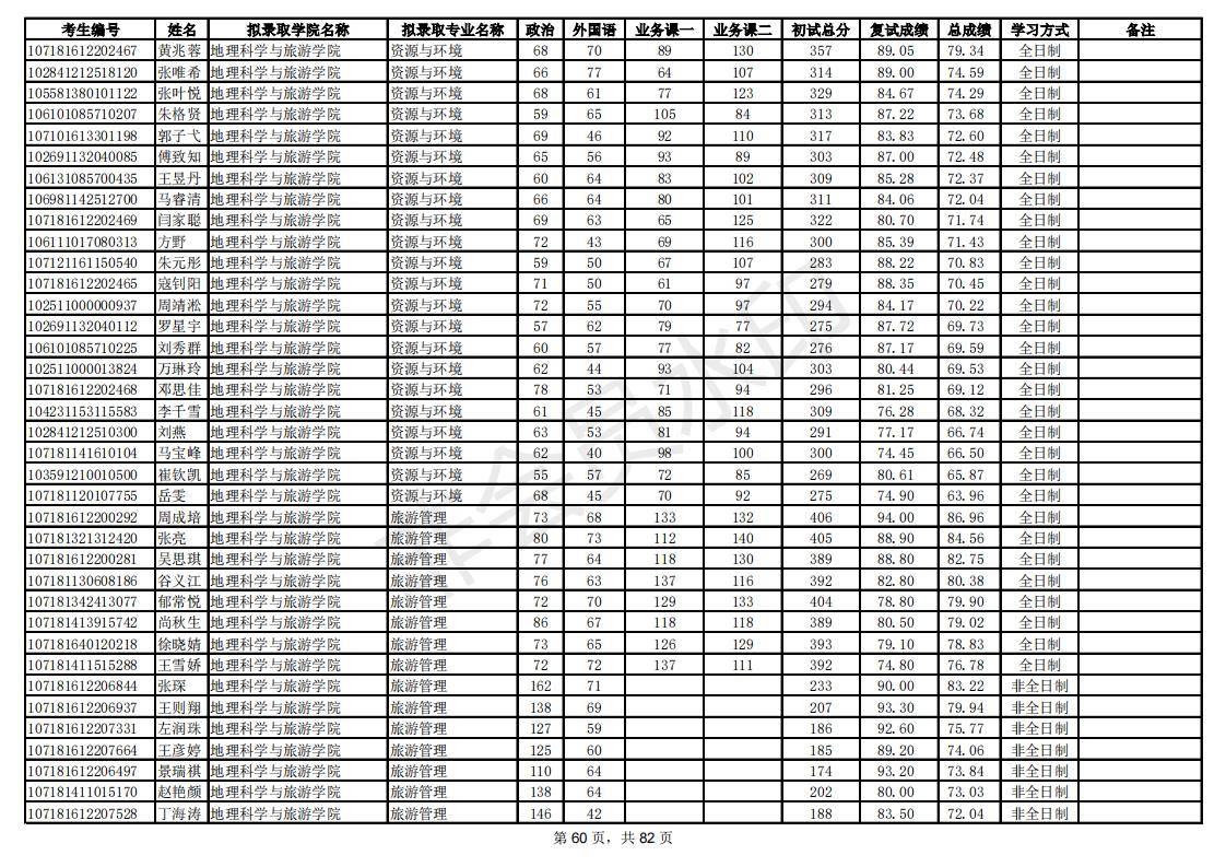
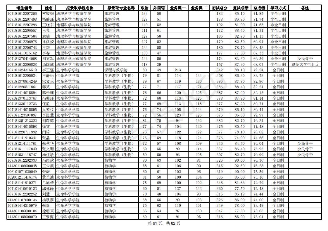
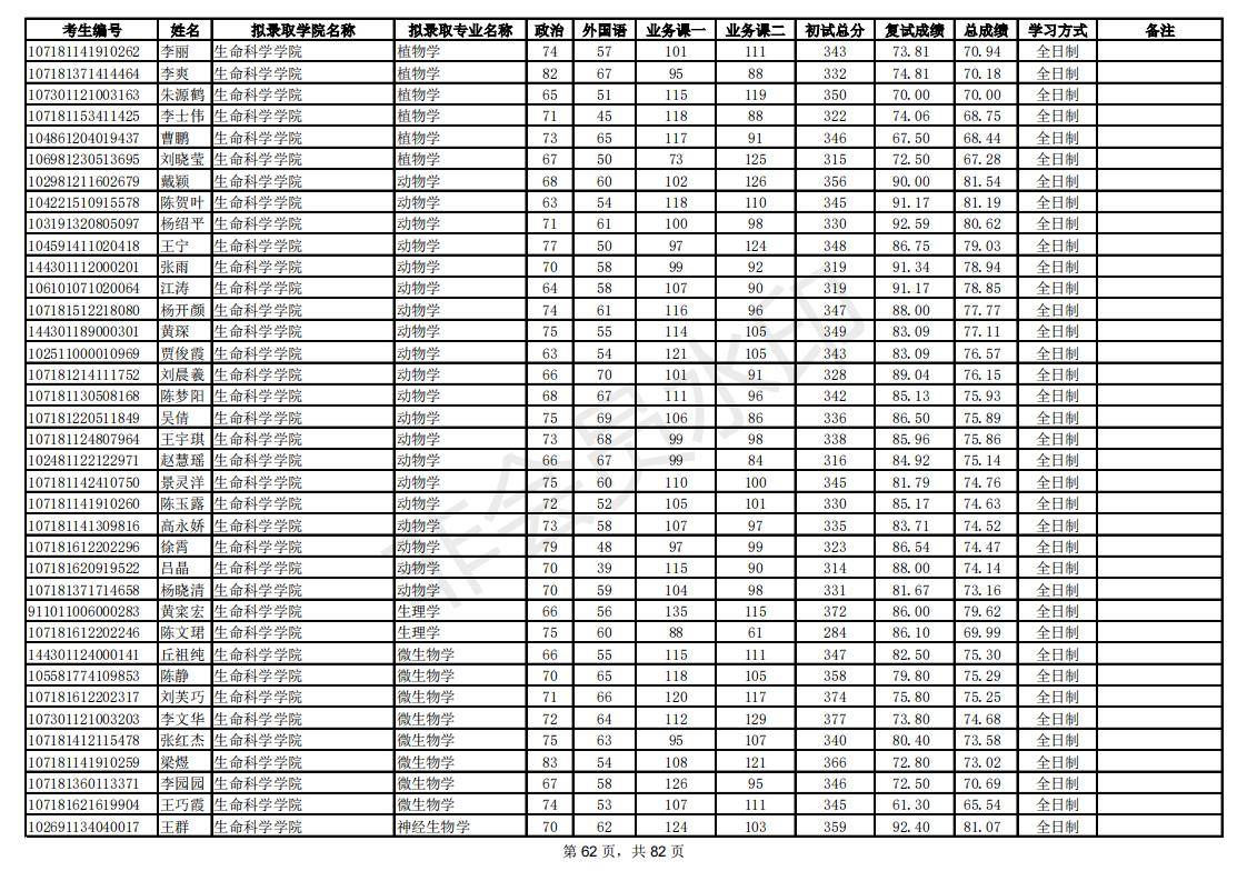
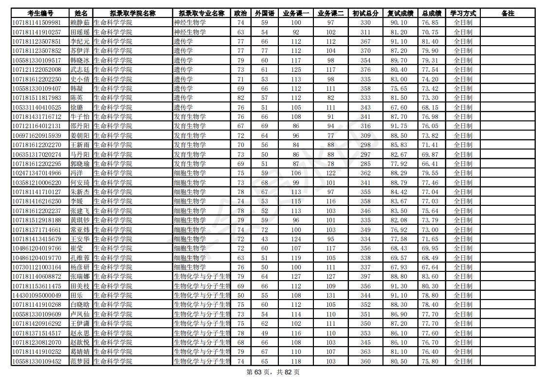
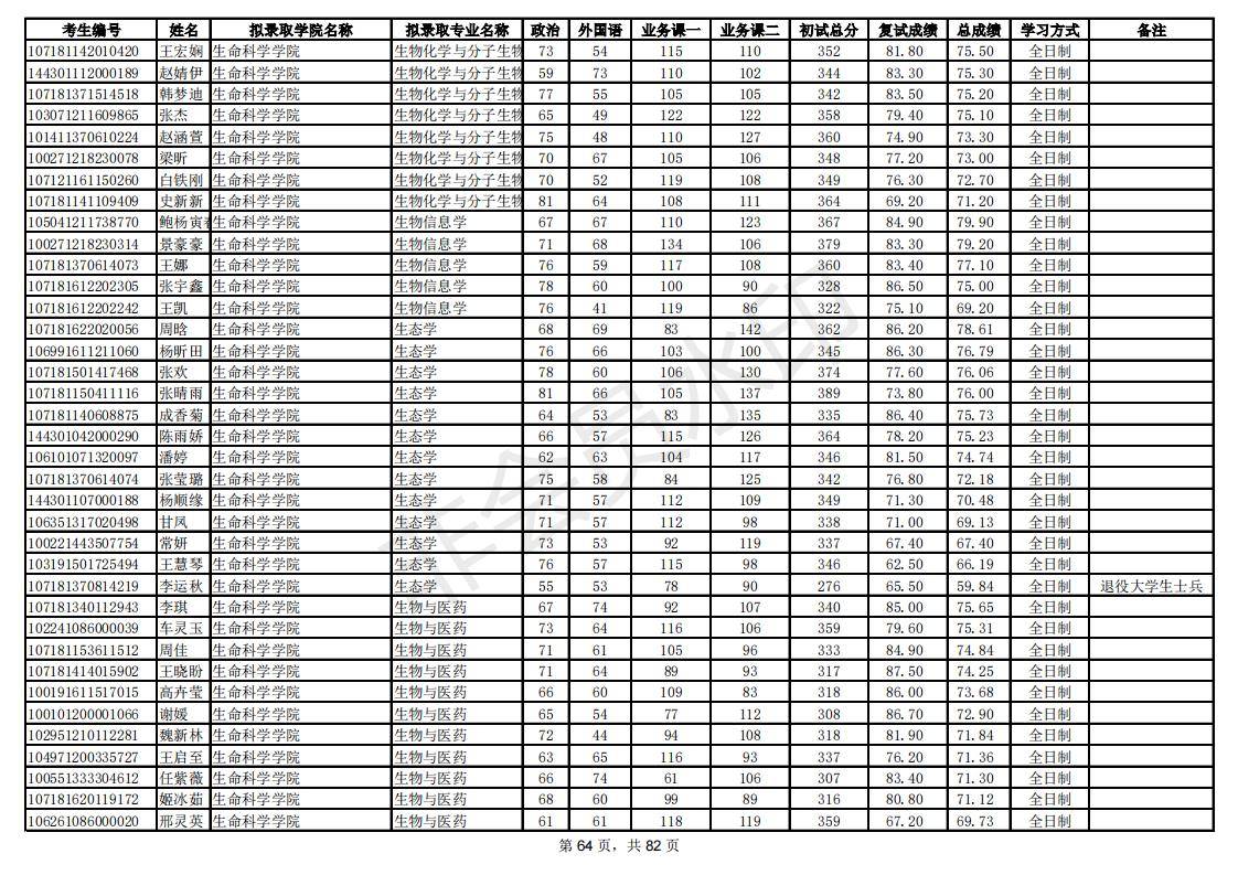
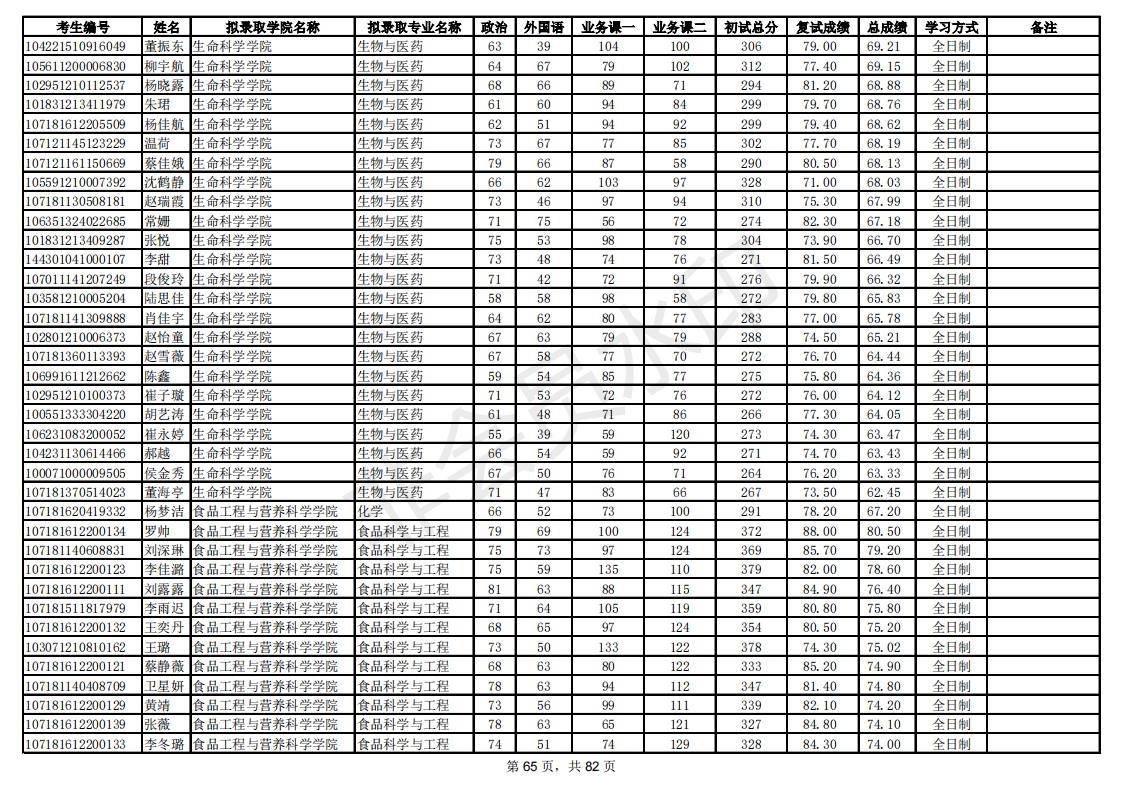
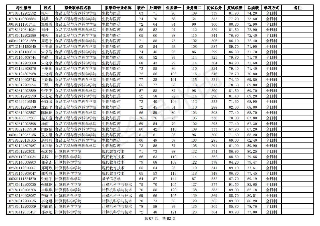
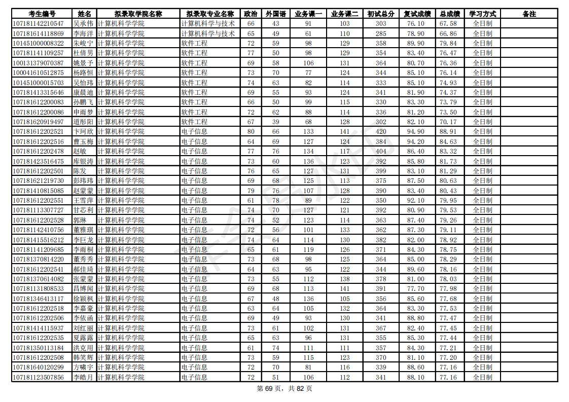
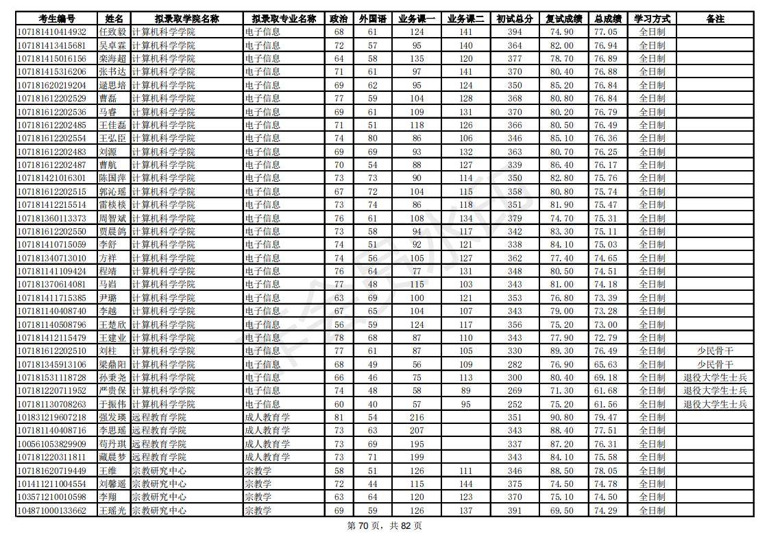
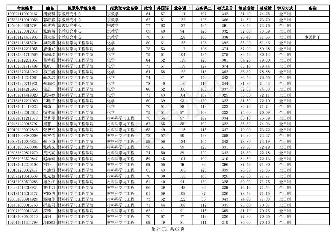
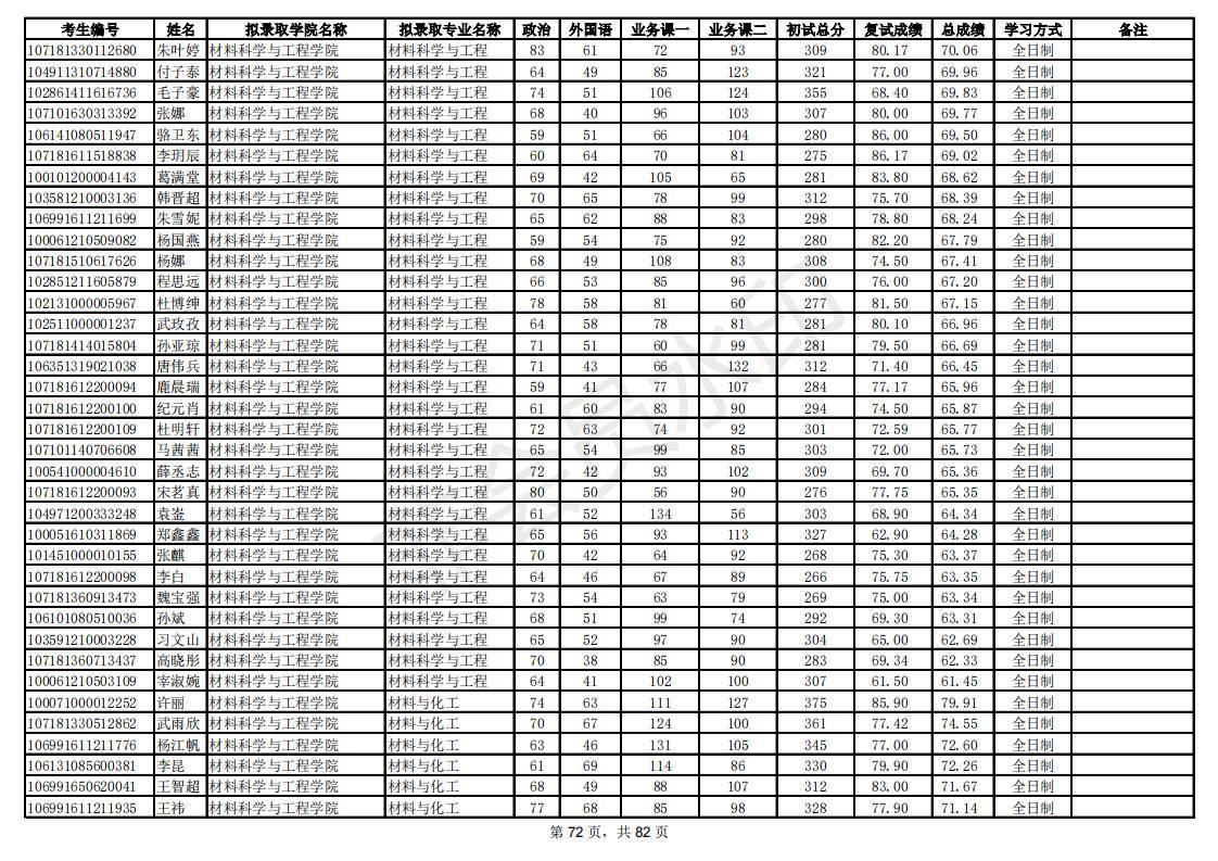
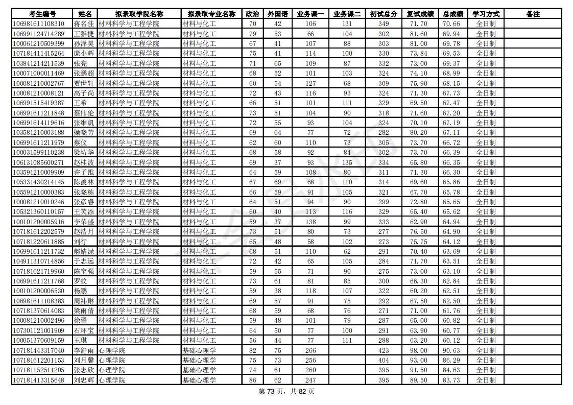
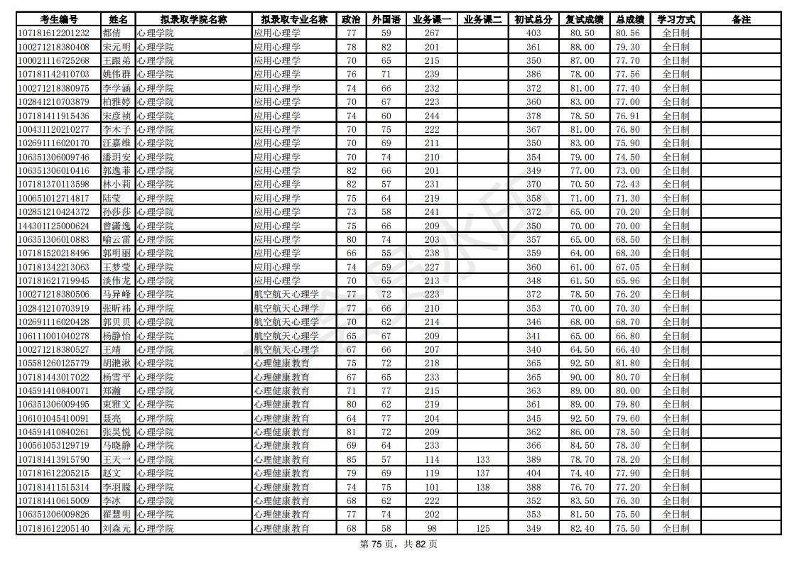
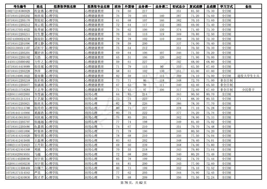
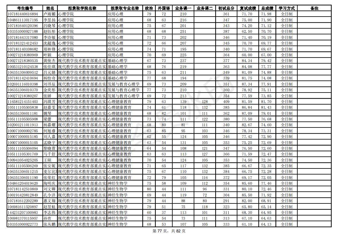
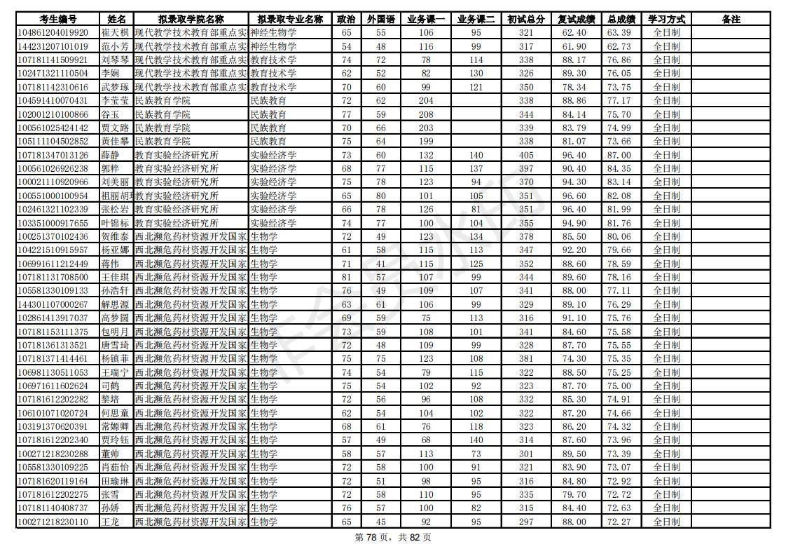
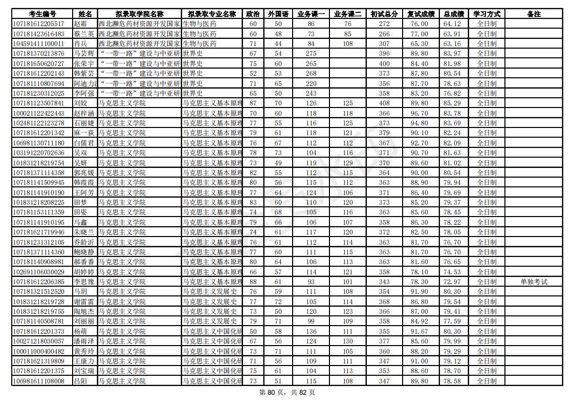
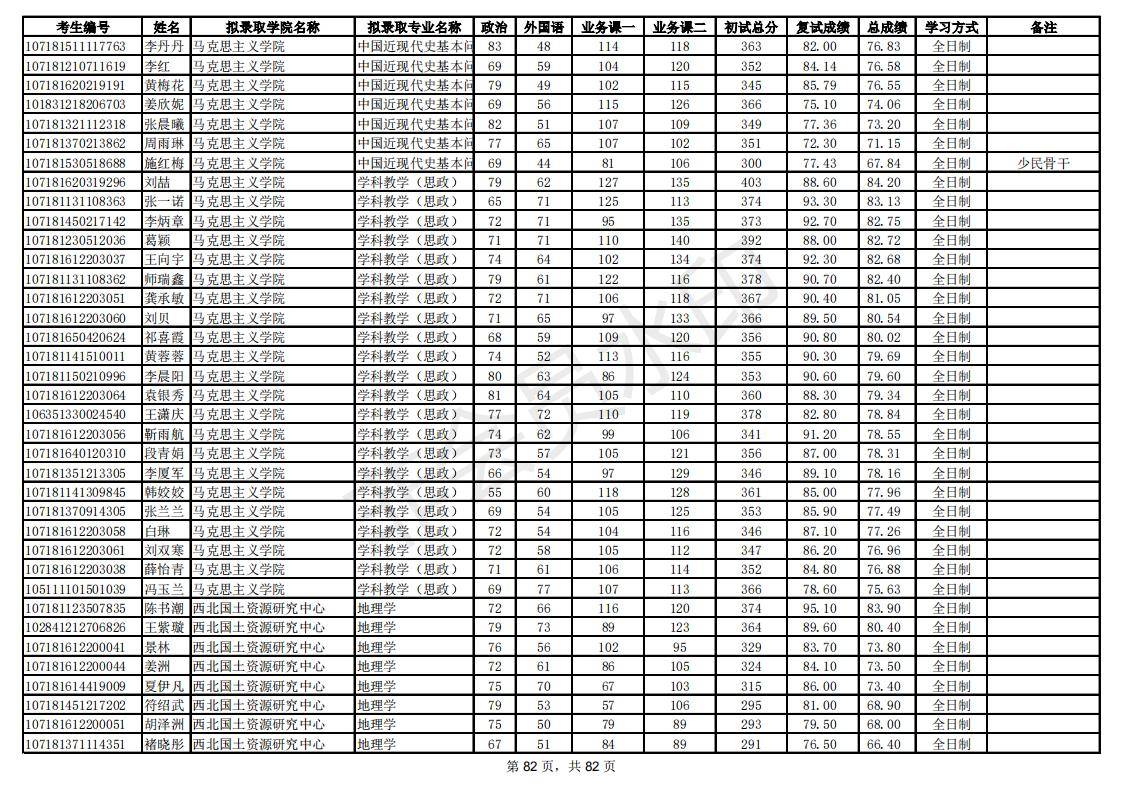
21年考研硕士研究生拟录取考生名单公示


















































































本文信息来源于学校的研究生院,由新祥旭考研整理,未经允许,不可转载。
需要试听【22考研成功经验公开课】的,加我备注“目标院校+专业”,带你听课! 新祥旭考研,深耕一对一领域15年,覆盖了全国各985、211高校的所有专业+普通本科的常规专业。助力你的考研复习,高效全面,快人一步! 名校考研,高效提分,你需要更聪明的备考方式! 考研有疑惑,可咨询电话/微信: 13657256749 新祥旭考研专业课一对一辅导 北京总部:北京海淀区苏州街长远天地A2座21层 上海分校:上海杨浦区国定路三号湾广场创业大厦2号楼11层1111室 武汉分校:武汉市洪山区创业街66号海达创新广场19楼1902室 



















