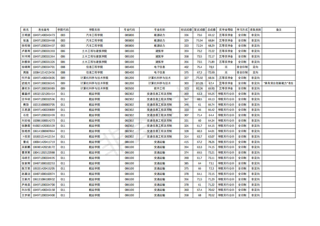
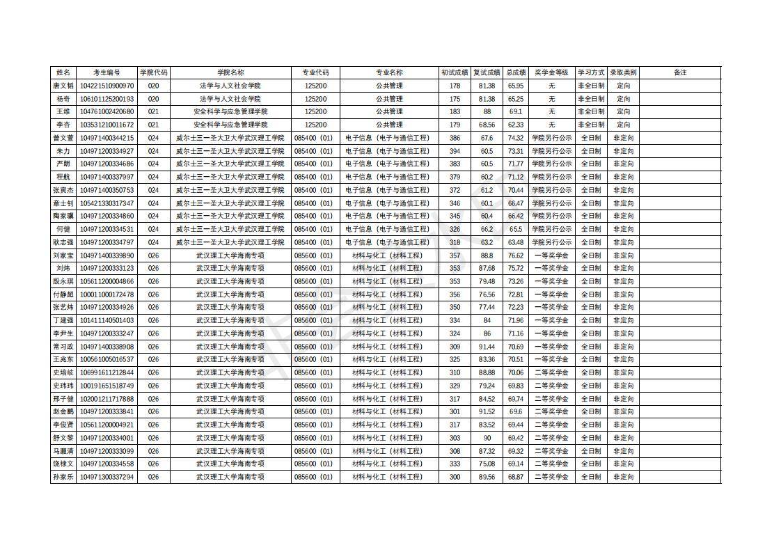
根据《武汉理工大学 2021 年硕士研究生复试录取工作方案》和学院招生复试录取工作实施细则相关规定,学院组织 2021 年硕士研究生招生复试并确定了拟录取结果。现将第四批拟录取结果予以公示(详见附件)。公示期自 2021 年 4 月 30 日至 2021 年 5 月 17 日。公示期间,如有异议,请实名以书面形式向武汉理工大学研究生院招生办公室反映。







武汉理工大学研究生院
2021年4月30日
需要试听【22考研成功经验公开课】的,加我备注“目标院校+专业”,带你听课! 新祥旭考研,深耕一对一领域15年,覆盖了全国各985、211高校的所有专业+普通本科的常规专业。助力你的考研复习,高效全面,快人一步! 名校考研,高效提分,你需要更聪明的备考方式! 考研有疑惑,可咨询电话/微信: 13657256749 新祥旭考研专业课一对一辅导 北京总部:北京海淀区苏州街长远天地A2座21层 上海分校:上海杨浦区国定路三号湾广场创业大厦2号楼11层1111室 武汉分校:武汉市洪山区创业街66号海达创新广场19楼1902室 

本文来源于武汉理工大学研究生院,新祥旭考研整理,未经允许,不可转载。


















